线性代数12-矩阵应用:图与网络
Linear Algebra-矩阵应用:图与网络-12
一、知识概要
本节重点阐述图与矩阵之间的紧密联系,借助矩阵来展现图的特性。与前面几节内容不同,之前例子中的矩阵元素大多是为解释性质而设定的,而本节矩阵元素均源于实际问题,这能更直观地体现之前所学矩阵性质在实际场景中的应用价值。
二、图和关联矩阵
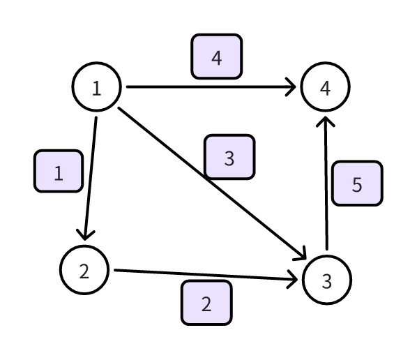
我们先来看一个有向图(图一):

在本节中,我们围绕这个有向图展开研究。对于有向图,我们可以写出它的关联矩阵 ,如下:
对于不太熟悉关联矩阵的读者,这里简单介绍一下。在这个 的矩阵中,每一列对应一个节点,例如第一列代表节点 1,第二列代表节点 2,以此类推;每一行则代表一条边的走向,第一行代表边 1,第二行代表边 2,依此类推。需要注意的是,在每一行所代表的边中,若该边以某个节点为起点,那么在矩阵中对应元素为 -1;若以某个节点为终点,对应元素则为 1。
以第一行为例,第一行代表边 1 的特征。在图(一)中,边 1 从节点 1 出发,到达节点 2,这在矩阵中就表现为 ,。其他行以此类推。
接下来,我们探讨图(一)所代表的实际意义。
【例】假设 表示每个节点上的电势,研究 这种形式能得出哪些结论。
- 当 为零向量时:此时需要求解 ,即:
求解上述方程组可得:( 为常数)。
因为 代表各个节点的电势,所以 的解集表明当 时,各点电势必须相等。我们知道,电势差与电流的形成密切相关, 意味着各条边上都没有电流(即电势差为零),而最终解得各点电势相等时边上电流为 0,这与我们的物理常识相符。
- 当 不为零时:我们可以通过特解加上通解的方法,求出在不同 值情况下方程的解。这些解代表了在不同电势差情况下,各点电势的大小。
接下来研究左零空间 的特点。首先,矩阵 的转置为:
然后求解方程 ,即:
A转置后, 有五个分量,是对 的行进行线性组合。由于 的行代表 1 - 5 边,结合前面的例子背景,这里求解的就是流过每条边的电流。
求解该方程可得:
这些方程体现了基尔霍夫定律,即每个节点流入和流出的电流相同。每个方程分别代表一个节点的电流情况,最终解得的 就是满足这一特性的各条边的电流值。
三、实际应用的扩展
,这个式子表示每两点之间的电势差。该方程将图的特征(通过矩阵 体现)与各点电势(x)紧密联系起来。
在研究 时,其中的 代表各个边上的电流。结合电流与电势差的关系,我们联想到初中所学的欧姆定律。电流与电压之间存在一个比例系数,假设用矩阵 表示,即有:
,也就是 。
这样,我们就成功地用矩阵表示了图像、电流和电势差这些概念。
进一步拓展,前面研究的 是无源场的情况。如果存在外加电源,可表示为 ( 表示外加电源的影响)。结合前面得到的 ,最终得到式子:。
四、学习感悟
本节内容与之前所学知识联系紧密,同时与实际应用的结合也十分紧密。从一个有向图出发,结合实际物理问题,详细解释了如何运用矩阵来阐述欧姆定律和基尔霍夫定律。学习完本节后,我们对之前所学的各种空间在实际问题中的作用有了更深入、更切实的理解,真正体会到线性代数知识的实用性和广泛应用。


